Examenul Național de Bacalaureat >Afisare rezultate si depunere contestatii
EXAMEN DE BACALAUREAT
Sesiunea iunie 2025
Afișarea rezultatelor la probele scrise se va face:
Vineri 20 iunie 2025, până la ora 1200
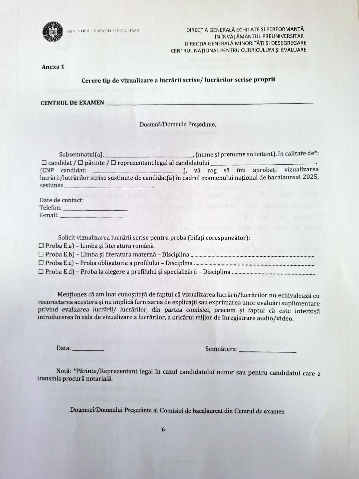
Depunerea cererilor de vizualizare:
Vineri 20 iunie 2025, între orele 1400 – 1700
Vizualizarea lucrărilor și depunerea contestațiilor:
Vineri 20 iunie 2025, între orele 1700 – 1800
Luni 23 iunie 2025, între orele 900 – 1700
Marți 24 iunie 2025, între orele 900 – 1700
Contestațiile se pot depune atât fizic la sediul Centrului de Examen, în sala comisiei, cât și online, la adresa
contestatii.bacescu@gmail.com


